Nature Medicine| 百万人研究,反复感染新冠,大增器官衰竭和死亡的风险

Page content

Nature Medicine| 百万人研究,反复感染新冠,大增器官衰竭和死亡的风险 by 病毒学界

新冠病毒,通常通过呼吸道感染人类,并造成呼吸系统和人体各个器官的损伤。自 2019 年底首次爆发至今,新型冠状病毒仍在全球肆虐,对世界经济、社会造成极大的负面影响。

自新冠近三年以来,多项研究发现,首次感染新冠会导致短期和长期的健康风险,几乎影响身体的每个器官系统。此外,尽管人们在第一次感染或接种疫苗后获得了抗体,但仍可能第二次或第三次感染。

2022 年 11 月,美国华盛顿大学医学院的研究人员在 Nature Medicine 期刊上发表了一篇题为 "Acute and postacute sequelae associated with SARS-CoV-2 reinfection " 的研究论文。

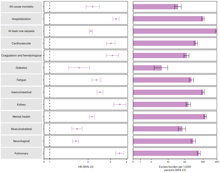
该研究发现,反复感染新冠,会显著增加器官衰竭和死亡的风险,风险随着每次感染而增加。包括易患影响肺、心脏、大脑、血液、肌肉骨骼和胃肠道疾病,还会导致糖尿病、肾病和心理健康问题,甚至死亡。

研究提醒人们应该保持警惕,以减少再次感染的机会。

在该研究中,研究人员分析了美国退伍军人事务部数据库中医疗记录,共纳入 443588 名初次感染、40947 名两次或多次感染和 5334729 名未感染的参与者作为对照组,分析了感染病毒后的前 30 天内和 6 个月内死亡、住院、「长新冠」风险。

总的来讲,在再次感染的人群中,92.8% 的人两次感染,6.3% 的人三次感染,0.9% 的人 4 次或以上感染。

研究发现,与仅感染一次的参与者相比,再次感染的人全因死亡风险增加 2.17 倍,住院风险增加 3.32 倍,并且至少有一种「长新冠」的风险增加 2.1 倍。

再次感染增加的风险
此外,与仅感染一次的参与者相比,反复感染的人患肺部疾病的风险高 3.5 倍,患心脏病的风险高 3 倍,患脑部疾病的风险高 1.6 倍。
重要的是,研究还发现,不良健康结果的风险随着感染次数的增加而增加。与未感染的对照组相比,仅发生一次感染的人发生至少一种「长新冠」风险增加 1.37 倍,两次感染的人风险增加 2.07 倍,三次或以上感染的人风险增加 2.35 倍。
随着感染次数增加,风险增加
研究人员表示,研究结果具有重要意义,我们应该实施预防或降低再感染风险的策略,进入冬季,人们应该意识到风险并保持警惕,以降低感染或再次感染的风险。
综上,研究表明,与未再次感染的人相比,再次感染增新冠,会显著增加多个器官系统健康风险,增加器官衰竭和死亡的风险,风险随着每次感染而增加。
论文链接:
https://doi.org/10.1038/s41591-022-02051-3
文章来源:医诺维 侵删


原文链接